用血栓弹性成像技术监测减肥手术中的高凝状态

沃德生命

关注站内信

1 楼

摘要 

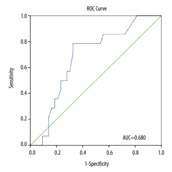
背景肥胖是术后静脉血栓形成的主要危险因素。血栓弹性成像(TEG)用于监测血凝块的粘弹性特征。这项研究的目的是确定接受减肥手术的患者的高凝状态,并在围手术期使用TEG评估凝血参数的动态。材料和方法我们纳入了60例连续接受减肥手术的患者。TEG改变在4个时间点进行评估:基线时、术后和术后第1天(POD1)和第2天(POD2)。当患者血块强度(G)≥11达因/cm²或最大振幅(MA)≥68 mm时,定义为高凝状态。结果60例患者中14例(23.3%)术前出现高凝状态。G≥11组的纤维蛋白原水平显著高于G <11组,分别为4.2和3.8 G /l (p=0.02)。17例患者(28.3%)基线时MA≥68 mm。POD2的纤维蛋白原水平从基线的3.90显著增加到4.16 g/l (p<0.001)。平均反应时间从基线(6.74 s)增加到POD2 (7.43 s, p=0.022)。我们发现纤维蛋白原基线水平与MA (R=0.431, p=0.001)或G (R=0.387, p=0.003)之间存在相关性。ROC曲线分析显示,纤维蛋白原水平可预测血栓强度(G)≥11达因/cm²,AUC=0.680 (p=0.044)。结论:相当一部分接受减肥手术的患者出现了TEG高凝的趋势。这项研究显示了TEG在减肥手术围手术期高凝监测的潜力。 

http://webres.medlive.cn/upload/001/394/341

 

预测G≥11达因/cm2的血浆纤维蛋白原水平的相对工作特征(ROC)曲线(曲线下面积[AUC]=0.680, 95%可信区间[CI] 0.53-0.80, p=0.044)。纤维蛋白原预测G≥11的最佳临界值为3.97 G /l(敏感性78.6%,特异性67.4%)。


http://webres.medlive.cn/upload/001/394/342

 

血浆纤维蛋白原水平预测MA≥68 mm的受试者工作特征(ROC)曲线(曲线下面积[AUC]=0.679, 95%可信区间[CI] 0.53-0.83, p=0.041)。纤维蛋白原预测MA≥68的最佳临界值为3.85 g/l(敏感性为80.0%,特异性为64.3%)。

 

2023-04-07 10:49 回复
回复话题