改造的T细胞在血液恶性肿瘤的过继细胞免疫治疗中显示出了显著疗效。然而,在实体瘤治疗中成功案例较少。溶瘤病毒(OVs)具有特异性裂解肿瘤细胞以及通过破坏血管间接抑制肿瘤生长的能力。这些抗肿瘤能力在全身给药时与淋巴细胞相关,故需要高剂量给药以逃避抗体和免疫系统其他部分的攻击。T细胞可以自由在体内通行,使用这些细胞将OVs直接递送到肿瘤组织可能会是一个很理想的方案。在小鼠和人T细胞中,作者研究表明CAR-T细胞负载低剂量病毒不会影响受体的表达和功能。改造的T细胞可以将病毒富集到多种肿瘤细胞靶标上,以提高联合疗法的抗肿瘤活性。这一方法可以广泛使用,因为作者在感染RNA或DNA病毒的鼠或人T细胞上观察到类似的结果。总而言之,改造的T细胞装载OV可能是一种能提高疗效的新的联合疗法。
前言
溶瘤病毒(OVs)能够选择性感染肿瘤细胞,并在其中复制并杀伤肿瘤细胞,而不会伤及健康组织。此外,这些病毒可以诱导强力的免疫应答,增强机体的抗肿瘤反应。已经发现疱疹性口腔炎病毒(VSV)具备这一属性。M蛋白(VSVΔM51)突变增强了这种病毒的干扰素敏感性,同时显著增强了其安全性和肿瘤趋向性。牛痘病毒(VV)已广泛用在临床前模型和临床试验,病毒的全身治疗结果显示是安全的。作者对胸苷激酶和病毒生长因子基因缺失的这种“双重缺失”型重组牛痘病毒很感兴趣。这种病毒肿瘤趋向性增强,并且在静止期细胞内复制受限。
关于VV全身给药的临床试验给予高剂量病毒的取值范围在每例患者1×105到3 × 107 PFU/kg。迄今为止临床试验中VSV的使用仍然受限,在动物试验中每只小鼠通常采用高于5 × 108PFU的剂量,表明了人体中使用的剂量也可相当高。据推测静脉给予这么高剂量的病毒是因为多个血源性防御机制会消灭病毒,如补体,抗体,免疫细胞,所以需使用饱和剂量突破防御机制使病毒能转运至肿瘤。
过继细胞治疗(ACT)已成为某些种类的癌症有效的治疗方法,包括黑色素瘤的肿瘤侵润T淋巴细胞治疗和恶性血液肿瘤的改造T细胞治疗。ACT研究的成功证明,T细胞的过继转移使T细胞迁移至肿瘤位点以发挥抗肿瘤作用。有趣的是,OVs发现与外周血淋巴细胞如B细胞有天然的关联。因此在过继细胞治疗前将淋巴细胞负载OVs受到关注。这种方式装载OVs的淋巴细胞可以将OV输送到肿瘤部位。的确,前期的报道显示在转基因小鼠中T细胞可以转运OV到成瘤部位,并且这一组合可以导致肿瘤排斥反应。装载VSV到T细胞中可以保护病毒避免与抗体中和,并保持其抗肿瘤功效。同样,VV可以利用细胞因子诱导的杀伤细胞在肿瘤内有效携带和积蓄,引发再次抗肿瘤效应。在嵌合抗原受体(CARs)改造的T细胞过继输注的临床试验中看到了具有前景的治疗效果,作者感兴趣的是确定是否CAR-T细胞可装载OV并保持抗肿瘤活性,从而有效的构建双重抗肿瘤活性制剂。在这篇文章中,作者证明VSVΔM51和vvDD可以成功地加载到小鼠和人CAR-T细胞,并且不会影响CAR的表达,活力或功能。作者的数据还进一步表明,OV-CAR-T细胞是能够将病毒富集到到肿瘤靶点,并且该组合具有增强两者单一疗效的潜力。这些数据为未来两种治疗的结合应用提供依据。
结果
CAR-T细胞负载OV不影响CAR的表达
首先作者要确定CAR-T细胞负载OV组合的可行性以及研究中使用病毒的感染复数(MOI)。使用逆转录病毒转导CAR-’ve的小鼠T细胞(避免CAR的潜在影响),在MOI值为0.3,1和3负载VSVΔM51-GFP和vvDD-GFP Murine (图1a)。作者预实验发现,VSVΔM51-GFP和 vvDD-GFP负载改造的T细胞在MOI值为3时在肿瘤靶标上的沉积水平最高,以及重复性相对要高(图1a)。在用慢病毒改造的人T细胞测试得出了相同的结果,即在MOI值为3时病毒沉积水平最高(图1b)。基于这些结果,在随后的实验中所有T细胞和病毒使用这一MOI值。
接下来作者测试负载OV是否会对T细胞造成影响。MOI值为3使用VSVΔM51-GFP和vvDD-GFP负载改造的T细胞。在洗涤后,将细胞培养过夜,并进行病毒复制,或CAR的表达或功能改变的分析。在这些研究中所用的HER-CAR示意图在附件图S1中。利用流式细胞术检测携有GFP病毒感染的细胞发现感染VSVΔM51-GFP和vvDD-GFP的一小部分小鼠T细胞(图2a,b;附件图S2a)中CD4+CD8+亚群GFP表达水平相近。作者继续研究OV的负载对CAR表达的影响发现负载任一OV后对CAR的表达水平没有影响(图2c,附件图S1B)。

图1:OV负载的剂量。根据VSVΔM51-GFP 或vvDD-GFP的MOI负载CAR阴性(CAR-’ve)改造的小鼠(a)或人(b)T细胞,洗脱,并与D2F2 肿瘤细胞孵育以测试OV沉积。通过Image Quant软件测定相对荧光,至少重复3次作平均值±SEM。CAR,嵌合抗原受体; MOI,感染复数; OV,溶瘤病毒; VSV,水泡性口炎病毒; VVDD,“双删除”痘苗病毒。
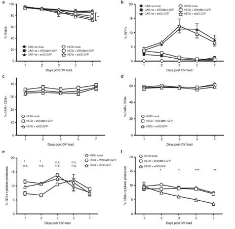
下面作者测试人CAR-T细胞装载OV的能力。作者使用携有人HER2-CAR的慢病毒(或CAR-’ve对照)改造T细胞并使用VSVΔM51-GFP或 vvDD-GFP进行负载。有趣的是作者观察到CAR-’ve和 HER2-CAR-T细胞中vvDD-GFP复制水平较高,负载后72小时GFP阳性细胞大约为12%(图2d,e和3B;附件图S2b)。与之相反,VSVΔM51-GFP负载细胞在负载7天后GFP阳性细胞从未超过2%(图2D,E和3b)。OV负载后至少在5天中,人CAR-T细胞中病毒复制的增加没有导致T细胞活性的改变;仅在vvDD-GFP负载7天后观察到细胞活性明显下降(图3a)。另外,正如同鼠T细胞,OV的负载没有导致人T细胞CAR表达的任何变化(图2f;附件图S1b,c)。在负载至少7天后CD4+或CD8+T细胞CAR都保持稳定表达(附件图S1;图3c,d)。病毒感染(经GFP阳性信号检测)并不局限于CAR阳性或阴性亚群,作者在两个亚群中检测到GFP相同的水平(如果没有在CAR阳性细胞中高表达),这表明OV没有发生区别性负载(附件表S1)。在CD4 +和CD8 + T细胞中衡量GFP的表达(补充图S2D)。作者在人HER2-CAR-T细胞中负载每一种OV并且通过流式细胞术对CD3+细胞进行纯化,以确认OVs在CAR阳性T细胞亚群中被携带(补充图S4)。病毒滴定分析证实CD3+ CAR-T装载有复制能力的病毒(附件表S3)。本文原创编译爱康得Paul认为这些数据表明OV的装载不影响改造的T细胞表明CAR的表达。
CAR-T细胞显示出具备OV装载的能力。接下来作者试图确定CAR-T功能是否受装载OV的影响。作者将小鼠CAR-T细胞装载OV并用HER2-Fc刺激4小时,随后使用流式细胞术对细胞因子进行检测。不管是负载了VSV还是vvDD的小鼠T细胞细胞因子表达水平都出现不明显的轻微下降(图4a)。在CAR的作用下应答性T细胞产生干扰素γ(IFNγ)和肿瘤坏死因子α(TNFα)(图4a)。为了评估加载和不加载OV的T细胞对靶细胞的杀伤能力,将不同效靶比的T细胞和肿瘤细胞共培养6小时,使在短期培养中潜在的病毒介导的杀伤作用最小化。的确,OV的加载并没影响到CAR-T的能力,其有效的对HER2+靶细胞(D2F2/E2)进行杀伤而对 HER2-’ve D2F2细胞没有影响(图4b)。

图2:OV的负载不影响CAR的表达。CAR-’ve和HER2-CAR改造的小鼠(a-c)或人(d-f)T细胞负载VSVΔM51-GFP或vvDD-GFP,洗涤并分析前孵育过夜。(a-b)通过GFP+流式信号检测,VSVΔM51-GFP或vvDDGFP负载小鼠(a-b)T细胞后复制量最小。数据取自三次独立实验的典型图或±SEM。*P < 0.05, n.s. =不显著。(c)在OV负载后通过流式细胞术检测HER2-Fc嵌合体来评估CAR的表达(CD8+细胞门控)。结果取三次独立实验的±SEM。(d,e)VSVΔM51-GFP或vvDD-GFP负载人T细胞后复制水平较低。数据取自两个独立实验的典型图或±SEM。*P < 0.05, n.s. =不显著。(f)根据上述评价方法(门控CD8 +细胞)CAR的表达不受OV负载的影响。结果取自两个独立实验的±SEM。CAR,嵌合抗原受体; MOI,感染复数; OV,溶瘤病毒; VSV,水泡性口炎病毒; VVDD,“双删除”痘苗病毒。
大多数情况下,OV的装载不会影响CAR刺激下表达细胞因子的能力(图3e和4c)。重要的是,OV的加载CAR-T细胞仍保持特异性杀伤HER2+靶细胞的能力,这表明任意细胞因子的减少不会危及到其裂解细胞的能力(图4d)。CD4+T细胞表达细胞因子只会在VSVΔM51-GFP的装载后瞬时下降,并且在OV装载后的48小时内得到恢复(图3e)。早期CD4+T细胞的细胞因子表达下降主要是因为TNFα表达的改变和IFNγ 表达的微弱变化(附件图S3a,b)。VSVΔM51-GFP的装载没有影响到CD8+T细胞表达细胞因子(图3f;附件图S3c)。由于VSV装载后GFP+细胞量较少,故无法评估VSV直接感染T细胞对T细胞功能产生的影响。vvDD的装载(通过GFP显示)影响了CD4+ 和CD8+ HER2-CAR-T细胞的细胞因子表达水平,但是,细胞仍可以通过CAR和细胞因子的表达对靶抗原产生应答(附件表S2和图S3b,c)。在vvDD-GFP装载后的几天里CD8 + T细胞介导的IFNγ和TNFα的表达显著降低(图3f)。这是由于GFP+亚群的功能减弱(附件表S2),并且恰好处于CAR-T细胞中病毒复制的增加(图3b)。总之,本文原创编译Paul认为该数据表明,改造的T细胞可以加载OV,并且不会导致CAR-T细胞功能障碍。

图3:随着时间的推移,OV负载的CAR-T细胞的T细胞活力,CAR表达或功能变化微小。人HER2-CAR-T细胞或CAR-’ve对照以MOI为3用VSVΔM51-GFP和vvDD-GFP负载7天后通过流式细胞术评估(a)可行性,(b)病毒的复制,(c)CD8 + T细胞CAR表达,(d)CD4+ T细胞CAR表达,或细胞因子的产生(IFNγ和/或TNFα阳性细胞)(e)的CD4 +或(f)CD8 + T细胞。数据取自两组独立的T细胞供体的±SEM。*P < 0.05, **P < 0.01, ***P < 0.001, n.s. = 无明显差异。CAR,嵌合抗原受体; MOI,感染复数; OV,溶瘤病毒; VSV,水泡性口炎病毒; VVDD,“双删除”痘苗病毒。
CAR-T细胞可以成功将OV转运至肿瘤细胞。为确定装载OV的CAR-T细胞是否可以有效地将病毒沉积于肿瘤靶标,将装载VSVΔM51-GFP和vvDD-GFP的CAR-’ve或HER2-CAR-T细胞,与不携带HER2不会受到CAR影响的乳腺癌D2F2细胞以1:1的比例共培养。24小时后使用Typhoon成像仪通过GFP对病毒复制进行评价(图5)。作者观察到CAR-’ve和HER2-CAR-T细胞成功将VSVΔM51-GFP以相同效率转运至肿瘤靶标(图5a,c)。事实上,小鼠和人的CAR-T细胞在单细胞层内表现出相似的复制模式(图5a,c左边小图)。这一模式意味着病毒会特异性侵袭病灶部位并蔓延至整个单细胞层(图5)。这进一步证明病毒自身可在肿瘤细胞中复制而不是简单的以1:1比例培养感染细胞。

图4:OV的负载不影响CAR-T细胞的功能。CAR-’ve和HER2-CAR改造的小鼠(a,b)或人(c,d)T细胞负载VSVΔM51-GFP或vvDD-GFP,洗涤并在功能检测前孵育过夜。将OV负载的T细胞在布雷菲德菌素A中HER2-Fc包被的培养板刺激4小时。细胞因子的分泌量介于模型和OV负载的T细胞之间(门控CD8+细胞)。(a)数据取自两个独立实验的流程图或(c)汇总。(b,d)模拟或OV负载的CAR-T细胞与D2F2或D2F2/E2肿瘤细胞共培养6小时。T细胞洗脱后,通过AlamarBlue法检测肿瘤细胞的存活率。数据取自小鼠和人两个独立的实验。CAR,嵌合抗原受体; MOI,感染复数; OV,溶瘤病毒; VSV,水泡性口炎病毒; VVDD,“双删除”痘苗病毒。